Thông báo lựa chọn đơn vị tổ chức đấu giá quyền sử dụng đất.
Một số ô đất ở thuộc các xã, phường: Yên Thọ, Hoàng Quế, Bình Dương, Đông Triều, Tràng An, Việt Dân, Bình Khê, thị xã Đông Triều.
    
|
Thông báo lựa chọn đơn vị tổ chức đấu giá quyền sử dụng đất.
    
|
Thông báo lựa chọn đơn vị tổ chức đấu giá quyền sử dụng đất.
Tên tài sản: một số ô đất tại các xã phường: Tân Việt, Đức Chính, Xuân Sơn, Tràng An, Mạo Khê, Đông Triều, Hoàng Quế, Tràng Lương, Việt Dân, Yên Thọ, Yên Đức.







Tiêu chí và thang chấm điểm lựa chọn tổ chức đấu giá quyền sử dụng đất 109 ô đất.




|
Thông báo lựa chọn đơn vị tổ chức đấu giá quyền sử dụng đất.
Lựa chọn tổ chức đấu giá khu đất thực hiện dự án Khu dân cư (phía Bắc khu dân cư Vĩnh Thông) tại phường Mạo Khê, thị xã Đông Triều và khu đất thực hiện dự án Khu dân cư (phía Đông khu dân cư Vĩnh Thông) tại phường Mạo Khê, thị xã Đông Triều
       
|
Thông báo lựa chọn đơn vị tổ chức đấu giá quyền sử dụng đất.
       
|
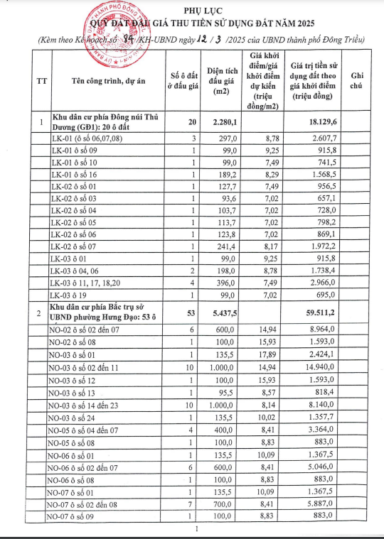
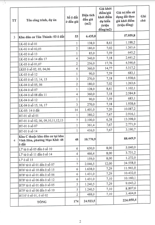
Kế hoạch đấu giá thu tiền sử dụng đất năm 2025 của UBND thành phố Đông Triều
UBND thành phố Đông Triều thông báo Kế hoạch đấu giá thu tiền sử dụng đất Quỹ đất tổ chức đấu giá cho hộ gia đình, cá nhân là 174 ô đất tại 04 vị trí, khu đất cụ thể như sau:






|